Skip to main content
Skip table of contents

Palkki- ja sauvarakenne FEA

Tekniset ominaisuudet

Palkki- ja sauvarakenne FEA:ssa on mahdollisuus tehdä lineaarisia statiikan analyysejä profiilirakenteille. Analyysin osat voivat olla Vertexillä mallinnettuja profiileja, tai vakiopoikkileikkauksisia pursotettuja osia. Palkki- ja sauvarakenne FEA:lla voidaan tutkia profiilirakenteiden siirtymiä ja rasituksia.

Elementtityyppi

Palkki- ja sauvarakenne FEA:ssa käytetään kuuden solmuvapausasteen Euler-Bernoulli -palkkimallin mukaisia suoria ja vakiopoikkileikkauksisia palkkielementtejä. Palkkielementillä voi olla vetoa, puristusta, taivutusta ja vääntöä aiheuttavia kuormituksia.

Palkkimallia on täydennetty siten, että se ottaa huomioon myös leikkausjännityksistä aiheutuvat liukumat. Leikkausmuodonmuutokset otetaan huomioon leikkauspinta-alojen avulla.

Materiaalimalli

Vertex FEA käyttää lineaarisesti kimmoisaa materiaalimallia.

Poikkileikkaukset

Palkki- ja sauvarakenne FEA:ssa osan poikkileikkauksen paikalliskoordinaatisto on alla olevien kuvien mukainen. Poikkileikkauksen paikalliskoordinaatiston

  • origo sijaitsee palkin neutraaliakselilla
  • X-akseli kulkee palkin suuntaisesti
  • Y-akseli on poikkileikkauksen 1. pääsuunta
  • Z-akseli on poikkileikkauksen 2. pääsuunta
  • 1. pääsuunta on aina poikkileikkauksen vahvempi taivutussuunta, eli ehto Iz > Iy on aina voimassa


Huom!

Poikkileikkauksen mallinnuskoordinaatisto on eri kuin FEA:n käyttämä poikkileikkauksen paikalliskoordinaatisto, joka vastaa poikkileikkauksen pääjäyhyyskoordinaatistoa.

  • Alla olevissa kuvissa
    • Sininen on mallinnuskoordinaatisto
    • Punainen on poikkileikkauksen paikalliskoordinaatisto


Palkki- ja sauvarakenne FEA:n osille lasketaan 3d-mallin geometriasta automaattisesti poikkileikkausarvot. Kaikille poikkileikkauksille lasketaan seuraavat arvot:

  • Poikkipinta-ala
  • Jäyhyysmomentti 1. pääsuunnan ympäri
  • Jäyhyysmomentti 2. pääsuunnan ympäri
  • Taivutusvastus 1. pääsuunnan ympäri
  • Taivutusvastus 2. pääsuunnan ympäri

Lisäksi, jos poikkileikkauksen muoto on tunnistettavissa, sille lasketaan seuraavat arvot:

  • Vääntöjäyhyys
  • Vääntövastus
  • Leikkauspinta-ala 1. pääsuunnassa
  • Leikkauspinta-ala 2. pääsuunnassa

Vääntökeskiön oletetaan sijaitsevan poikkileikkauksen pintakeskiössä.

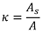
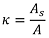
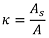
Leikkauspinta-alalla tarkoitetaan  leikkausvoiman vastaanottavaa pinta-alaa. Leikkauspinta-ala esitetään usein myös leikkauskertoimen avulla kaavalla

,jossa

  • κ = leikkauskerroin
  • As = poikkileikkauksen leikkauspinta-ala
  • A = poikkileikkauksen todellinen pinta-ala


Palkki- ja sauvarakenne FEA:n tunnistamia poikkileikkauksen muotoja ovat:

  • I-profiili
  • L-profiili
  • U-profiili
  • C-profiili
  • Z-profiili
  • T-profiili
  • Ympyrä
  • Ellipsi
  • Pyöreä putki
  • Suorakaide
  • Ontto suorakaide

Mikäli poikkileikkauksen muoto ei ole tunnistettavissa, leikkauspinta-alojen ja vääntöjäyhyyden sekä vääntövastuksen arvot jäävät nolliksi.

Mikäli leikkauspinta-alojen arvot ovat nollia, leikkausmuodonmuutosta ei huomioida laskennassa.

Kaikki poikkileikkausarvot ovat käyttäjän ylikirjoitettavissa.

Solmujen tuennat ja kytkennät

Palkki- ja sauvarakenne FEA:ssa palkkielementtien solmuja voidaan tukea tai niille voidaan asettaa kytkentöjä pääsolmuun vapausastekohtaisesti.

Solmun vapausasteella on kolme mahdollista tilaa:

  • Vapaa
  • Tuettu
  • Kytketty pääsolmuun

Kuormat

Palkki- ja sauvarakenne FEA:ssa palkkielementeille voidaan antaa seuraavia kuormia:

  • Pistekuorma
  • Pistemomentti
  • Viivakuorma
  • Pakkosiirtymä
  • Lämpökuorma

Tulokset

Palkki- ja sauvarakenne FEA:n laskemia rasitussuureita palkeille ovat:

  • Normaalivoima
  • Leikkausvoimat poikkileikkauksen pääsuunnissa
  • Taivutusmomentit poikkileikkauksen pääsuunnissa
  • Vääntömomentti
  • Akselin suuntainen normaalijännitys
  • Von Mises -vertailujännitys
  • Tukireaktiot
  • Siirtymätila




Käyttöliittymä

FEA:n käyttöliittymä koostuu 3d-mallissa esitettävästä grafiikasta, tutkimuspuusta sekä valintanauhan toiminnoista. Kaikki toiminnot kohdistuvat aktiivisena olevaan tutkimukseen. Passiiviset tutkimukset näkyvät tutkimuspuussa harmaana.


Avaa FEA-tila seuraavasti:

  1. Varmista ettei mitään ole valittuna työikkunassa painamalla Esc.
  2. Valitse tilannekohtaisesta valikosta FEA >
     Palkki- ja sauvarakenne FEA tai
     Osat ja kokoonpanot FEA.


Palaa takaisin ohjelman mallinnustilaan seuraavasti:

  • Valitse 
    OK. Ohjelma tallentaa tekemäsi muutokset.
  • Valitse 
    Poistu. Ohjelma hylkää tekemäsi muutokset

  

 3d-mallin geometrian muokkaus ei ole mahdollista FEA -tilassa.
JavaScript errors detected

Please note, these errors can depend on your browser setup.

If this problem persists, please contact our support.