Skip to main content
Skip table of contents

Euler-Bernoulli -palkkimalli

Euler-Bernoulli -palkkimalli on yksinkertaisin palkin käyttäytymistä kuvaava malli. Sen perusoletukset ovat seuraavat:

  1. Palkin poikkileikkaus säilyy tasona taivutuksessa.
  2. Palkin poikkileikkaus ei veny taivutuksessa.
  3. Palkin poikittainen leikkausmuodonmuutos on merkityksetön.
  4. Siirtymät käsitellään pieninä, eli esimerkiksi palkin pituus ei muutu taivutuksessa


Euler-Bernoulli -palkkimallin mukaisen palkin poikkileikkaus säilyy taivutuksessa kohtisuorassa neutraaliakseliin nähden alla olevan kuvan mukaisesti.

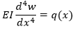
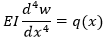
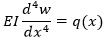
Euler-Bernoulli -palkkimallin oletuksista voidaan johtaa riippuvuus palkin kuormituksen ja taipuman välille. Tuloksena on kaava

jossa

  • EI = palkin taivutusjäykkyys
  • w = palkin taipuma
  • q = palkin kuormitus


JavaScript errors detected

Please note, these errors can depend on your browser setup.

If this problem persists, please contact our support.