Palkki- ja sauvarakenne FEA: Ratkaisu
Voit ratkaista aktiivisena olevan tutkimuksen painamalla FEA -tilassa valintanauhan toimintoa

Vaihda rasitussuuretta
Voit vaihtaa tuloksissa esitettävää rasitussuuretta tulosdialogin Rasitussuure-valintalistalta.
Eri rasitussuureiden kuvaukset on koottuna alla olevaan taulukkoon
Rasitussuure | Yksikkö | Kuvaus |
|---|---|---|
Normaalivoima N | kN | Palkin suuntainen voima |
Vääntömomentti MV | kNm | Palkin suuntainen momentti |
Taivutusmomentti MY | kNm | Taivutusmomentti palkin poikkileikkauksen 1. pääsuunnan ympäri |
Taivutusmomentti MZ | kNm | Taivutusmomentti palkin poikkileikkauksen 2. pääsuunnan ympäri |
Leikkausvoima QY | kN | Leikkausvoima palkin poikkileikkauksen 1. pääsuunnassa |
Leikkausvoima QZ | kN | Leikkausvoima palkin poikkileikkauksen 2. pääsuunnassa |
Normaalijännitys | MPa | Palkin suuntainen normaalijännitys lasketaan
|
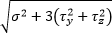
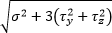
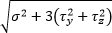
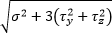
Von Mises vertailujännitys | MPa | Von Mises vertailujännitys lasketaan normaali- ja leikkausjännityskomponenteista kaavalla ![]() , jossa σ on palkin suuntainen normaalijännitys ja τ leikkausjännitykset poikkileikkauksen pääsunnissa. Leikkausjännitykset muodostuvat
Leikkausjännitysten jakautumista ei tunneta tarkkaan, joten Von Mises vertailujännitys on epätarkka. Useimmissa tapauksissa se antaa hieman liian suuren tuloksen. |
Siirtymä D | mm | Palkin neutraaliakselin siirtymäresultantti |
Siirtymä DY | mm | Palkin neutraaliakselin siirtymä poikkileikkauksen 1. pääsuunnassa |
Siirtymä DZ | mm | Palkin neutraaliakselin siirtymä poikkileikkauksen 2. pääsuunnassa |
Kiertymä | mrad | Palkin akselin kiertymä |
Visualisoi siirtymätilaa
Voit visualisoida rakenteen siirtymätilaa vetämällä Siirtymätila-liukukytkintä
Rakenteen siirtymätila näytetään 3d-mallissa.
Huom!
Rakenteen siirtymätilan visualisointi ei näytä siirtymiä todellisessa suuruudessaan, vaan ne ovat huomattavasti liioteltuja.
Muokkaa tulosten esitystä
Muuta tulosten esitystapaa
Voit valita tulosten esitystavaksi Väritetty tai Kuvaaja.
Kuvaaja-esitystavan kokokertoimella voit suurentaa tai pienentää kuvaajien korkeutta halutulla kertoimella.


Muokkaa tulosten väriskaalaa
Voit vaihtaa tulosten väriskaalaa ja tarkastella paremmin tuloksissa esiintyviä kriittisiä pisteitä Vaihda skaalan ylä- tai alapään arvoa tarpeen mukaan. Alla olevassa esimerkissä alarajaa on nostettu, jotta käyttäjä löytää paikat, joissa jännitys ylittää arvon 60 MPa.

Näytä tukireaktiot
Aseta Näytä tukivoimat -asetus päälle, niin näet tuetuilla solmuilla vaikuttavat tukivoimakomponentit yksikössä kN.
Voit valita näytettävien tukivoimakomponenttien koordinaatistoksi osan poikkileikkauksen paikalliskoordinaatiston tai 3d-mallin globaalin koordinaatiston.


Aseta Näytä tukimomentit -asetus päälle, niin näet tuetuilla solmuilla vaikuttavat tukimomenttikomponentit yksikössä kNm.
Voit valita näytettävien tukimomenttikomponenttien koordinaatistoksi osan poikkileikkauksen paikalliskoordinaatiston tai 3d-mallin globaalin koordinaatiston.


Näytä kytketyt solmut
Aseta Näytä kytketyt solmut -asetus päälle, niin näet tulosesityksen päällä myös laskentamallin kytketyt solmut.

Piilota profiilit
Aseta Piilota profiilit -asetus päälle kuvaajaesityksen ollessa käytössä, niin tutkimuksessa mukana olevien osien geometriat piilotetaan
Profiilien tilalla näytetään tutkimuksen laskentamallin solmut ja osien neutraaliakselit.

Kierrä esitystasoa
Kierrä esitystaso -asetus on mahdollista asettaa päälle rasitussuureille, joiden suuntaa ei voida ilmaista poikkileikkauksen pääsuuntien mukaan. Tällaisia rasitussuureita ovat
Normaalivoima N
Vääntömomentti MV
Normaalijännitys
Von Mises -vertailujännitys
Siirtymä D
Kiertymä
Aseta Kierrä esitystaso -asetus päälle kuvaajaesityksen ollessa käytössä ja jokin yllä mainituista rasitussuureista valittuna, niin kuvaajien esitystaso kierretään osan poikkileikkauksen ensimmäisen pääsuunnan suuntaiseksi.
Oletuksena esitystaso on osan poikkileikkauksen toinen pääsuunta.


Leikkausvoimien QY ja QZ sekä siirtymien DY ja DZ todellisen suunnan näet kuvaajan esitystason pystyakselista.
Taivutusmomenttien MY ja MZ todellisen suunnan näet kuvaajan esitystason normaalista.
Tallenna näkymä
Voit tallentaa tulosnäkymän painamalla Tallenna näkymä. Halutessasi voit vaihtaa taustan värin valkoiseksi oletusvärin sijaan.
